
|
|
ДОСЛІДЖЕННЯ ФОРМУВАННЯ ПОВЕРХНЕВОГО СТОКУ В МІСТІ КИЄВІ
Г.О. Діренко, провідний спеціаліст еколог ТОВ НІЦ «Потенціал – 4»
В статті розглядаються особливості формування поверхневого стоку в м. Києві. Аналізуються опади в м. Києві за період 1871 – 2004 р.р. Встановлені наукові закономірності формування дощового стоку у м. Києві з урахуванням витрат атмосферних опадів за місяцями, сезонами, роками та періодами. Досліджуються опади за різними градаціями (малі, середні та зливові дощі). Запропоновано формулу для визначення об’єму накопичувача при самостійній очистці поверхневого стоку з коефіцієнтом розрахунку для м. Києва.
Ключові слова: поверхневий стік, дощові, талі та поливомийні води, урбанізовані території, атмосферні опади, інтенсивність опадів, повторюваність опадів, накопичувач забруднених вод, потужність очисних споруд
Вступ
Поверхневий стік з урбанізованих територій є одним із джерел за-бруднення природних вод. Запобігання впливу цього джерела забруднювачів на якість води поверхневих водойм є одним із заходів по забезпеченню екологічної безпеки держави.
Під поверхневим стоком розуміють процес переміщення вод атмосферного походження по земній поверхні (стікання дощових, талих і поливомийних вод) у водойми і пониження рельєфу під дією сили тяжіння. При розрахунках визначається величина стоку, що показує кількість води, що стікає з водозбору за деякий інтервал часу [1].
Забруднення поверхневого стоку відбувається в результаті розчи-нення газів та пилу із приземних шарів атмосфери, змиву верхніх шарів ґрунту та зруйнованих дорожніх покриттів, змиву від сміттєконтейнерних майданчиків, забруднених органічними речовинами; промислових відходів у вигляді викидів, витоку нафтопродуктів, миття транспорту та ін.
Згідно ДСТУ 3013-95 [2] забруднений поверхневий стік забороняється скидати у водойми без очистки. Тому першочерговим завданням є розрахунок потужності очисних споруд. Це вимагає детального вивчення особливостей формування поверхневого стоку.
1. Основні закономірності утворення поверхневого стоку
Атмосферні опади випадають в теплі та холодні періоди року відповідно у вигляді рідких опадів – дощу та твердих – снігу. Кількість твердих опадів, як правило, в порівняно холодних кліматичних поясах менша, ніж рідких [3].
Дощі характеризуються такими характеристиками, як кількість води, що випала (в мм або л/га), тривалість (в секундах, хвилинах або годинах та ймовірність випадіння (або ймовірність повторення). Похідною характеристикою є відношення кількості опадів до тривалості їх випадіння – інтенсивність. Інтенсивність та тривалість дощів обернено пропорційні. Інтенсивність дощу змінна у часі, тому може значно коливатися в процесі випадіння дощу. Розрізняють миттєву інтенсивність в деякий момент часу та середню інтенсивність за деякий проміжок часу. Інтенсивність дощів змінюється від 0,25 (мряка) до 100 мм/год (злива), але всі дощі з інтенсивністю більше 30 мм/год вважаються зливовими. В метеорології інтенсивність виражають в мм/хв. (і), а в інженерних розрахунках в л/(с∙га) (q). Між ними існує наступна залежність [3]:
q = 166,7∙і
Згідно багатьох досліджень [3, 4, 5] переважно період найбільшої інтенсивності дощу співпадає з першою третиною його випадіння за часом, рідше – ближче до середини. Приблизно рівномірна інтенсивність спостерігається лише у найслабших та тривалих дощах. Максимальні значення інтенсивності найбільш характерні для першої половини дощу, хоча іноді зустрічаються і в останній його третині. Деякі дощі мають два максимуми найбільшої інтенсивності – на початку та в середині дощу. Бувають дощі і з двома мінімумами – на початку та в кінці дощу. Дощі з рівномірною інтенсивністю або з найбільшою інтенсивністю у кінці згідно [3, 4, 5] випадають дуже рідко.
У доступній науковій літературі є поодинокі відомості про дослі-дження цих процесів. На основі досліджень, проведених ЛНІІ АКХ, визначено 5 основних типів ходу випадіння дощів (рис. 1) [3, 6]. При дослідженні загальна тривалість кожного дощу розподілялася на 10 рівних інтервалів і для кожного інтервалу визначалася кількість опадів у відсотках від загальної кількості опадів, що випали за весь період. За положенням періоду максимальної інтенсивності до І типу віднесені дощі з максимумом інтенсивності на початку або в першій третині випадіння. Їх кількість складає 37 % від загальної кількості дощів. Дощі ІІ типу – з рівномірною інтенсивністю (11 % від загальної кількості дощів). До ІІІ типу віднесені дощі з максимумом інтенсивності в кінці дощу (13 %). До ІV типу віднесені дощі з максимумом інтенсивності в середині всього періоду випадіння (28 %). До V типу віднесені дощі з двома максимумами інтенсивності – на початку і вкінці випадіння (11 %).
Саме такий стан проблеми визначає актуальність дослідження її в інших кліматичних зонах.
|
|
|
|
|
|

Рис. 1. П’ять типів ходу випадіння дощів та ймовірності їх повторення [6]
І тип – інтенсивність дощу максимальна на початку або в першій третині випадіння, ІІ тип – інтенсивність постійна (рівномірна), ІІІ тип – інтенсив-ність максимальна вкінці, ІV тип – інтенсивність максимальна всередині періоду, V тип – інтенсивність максимальна на початку та вкінці дощу
Теоретичний ряд залежностей інтенсивності від впливу на неї факторів не встановлено у зв’язку зі складністю процесу утворення атмосферних опадів. Для практичних розрахунків використовують емпіричні залежності, встановлені на основі статистичних даних багаторічних кліматичних спостережень. Для розрахунків приймають задане значення забезпеченості рв, яке вказує на проміжок часу, на протязі якого може спостерігатися дощ із заданими характеристиками 1 раз.
Дощі, що випадають на порівняно невеликій площі, характеризуються різкою зміною шару опадів в залежності від її величини і, навпаки, при дощах, що випадають на великій площі, шар опадів при збільшення площі практично не змінюється.
Витрати талих вод переважно менші за витрати дощових вод, однак в період інтенсивного сніготанення утворюється талий стік, добові об’єми якого перевищують аналогічні об’єми дощового стоку. Тому для організації очистки поверхневого стоку визначення об’ємів талого стоку являє собою значний інтерес. Витрату талого стоку можна визначити за інтенсивністю сніготанення або за шаром стоку за години сніготанення на протязі доби за емпіричними залежностями [3, 4, 5].
Оскільки стік поливомийних вод із забудованих територій за об’ємом незначний у порівнянні з дощовим та талим стоком, його витрата не є визначальною для розрахунків.
Особливістю поверхневого стоку є значна нерівномірність розподілу концентрацій забруднень на протязі дощу. Дослідження підтверджують наявність закономірностей залежностей зміни концентрацій забруднюючих речовин від інтенсивності опадів. Відмічається, що на протязі перших 10-15 хвилин стоку вміст забруднюючих речовин набагато більший при дощі більшої інтенсивності, але для дощів меншої інтенсивності характерна наявність значних забруднень при подальшому відборі проб. Зі збільшенням інтенсивності дощу зростає темп забрудненості стоку до мінімальних значень вкінці, але нерідко в пробах, що відбираються наприкінці стоку, вміст забруднень дещо зростає. Слід відмітити, що вплив інтенсивності дощу відмічається до деякої межі, наприклад, за дослідженнями для Санки-Петербурга до інтенсивності 20-хвилинного дощу 10 л/(с∙га). Коли значення інтенсивності нижче за цю межу, її вплив на абсолютні значення концентрацій забруднюючих речовин та динаміку їх зміни не спостерігається [4].
Закономірності зміни забрудненості поверхневого стоку добре простежуються для таких показників, як вміст завислих речовин, БСК, ХСК. Розподіл концентрацій решти забруднюючих стік інгредієнтів часто має випадковий характер [3, 4].
На рис. 2, 3 та 4 представлені залежності зміни витрати дощових вод Q, концентрації завислих речовин С і концентрації нафтопродуктів Н від тривалості випадіння опадів t для дощів I і III типів у Санкт-Петербурзі та Москві.

Рис .2. Залежність зміни витрати дощових вод Q від тривалості випадіння опадів при різних типах дощів

Рис. 3. Залежність зміни концентрації завислих речовин С від тривалості випадіння опадів при різних типах дощів

Рис. 4. Залежність зміни концентрації нафтопродуктів Н від тривалості випадіння опадів при різних типах дощів
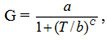
В дослідженні [7] аналізується динаміка накопичення за-бруднюючих речовин за міждощовий період у районах, різноманітних за благоустроєм. Графічні залежності, представлені на рис. 5, свідчать про те, що зі збільшенням тривалості бездощового періоду кількість забруднюючих речовин, що надходять у поверхневий стік, зростає незалежно від категорії басейну водозбору. Однак швидкість зростання кількості забруднюючих речовин, що надходять у поверхневий стік, відрізняється для різних категорій басейнів водозбору. Наведені на рис. 5 криві можуть бути описані аналітичною залежністю:
![]()
де G – питоме накопичення забруднень на поверхні басейну водоз-бору, кг/га;
Т – тривалість накопичення забруднень (тобто бездощового періоду), кількість діб;
a, b, c – коефіцієнти, що залежать від категорії басейну водозбору, їх значення приймають за таблицею 1.
Таблиця 1
Коефіцієнти, що характеризують динаміку накопичення забруднень
| Категорія басейну водозбору | а | b | с |
|---|---|---|---|
| 1 – селітебні території сучасної забудови з невисоким транспортним навантаженням (так звані „спальні райони”) |
13,72 |
2,96 |
-1,83 |
| 2 – адміністративно-торгівельні райони з транспортними магістралями |
109,47 |
2,87 |
-2,00 |
| 3 – території, прилеглі до промислових підприємств, з інтенсивним рухом транспорту |
309,22 |
6,50 |
-0,92 |

Рис. 5. Динаміка накопичення забруднюючих речовин за міждощовий період у районах, різноманітних за благоустроєм
1 – перша категорія басейну водозбору („спальні райони”);
2 – друга категорія басейну водозбору;
3 – третя категорія басейну водозбору.
В Південній Кореї були проведені дослідження [8] для 13 окремих водозбірних басейнів міста Чунгбук, які характеризуються різними видами забудови та різними характеристиками вододілу. За результатами спостережень та аналізів 38 дощів було виявлено значне підвищення вмісту завислих речовин та значне зниження концентрації розчиненого кисню в перших порціях стоку, порівняно з рештою стоку. Проте дослідження не виявили жодної кореляції між вмістом забруднюючих речовин у дощових водах та попереднім сухим періодом.
В роботі [9], США, виявлено кореляцію між вмістом забруднюючих речовин у поверхневому стоці та попереднім сухим періодом, але вона не співпадає з традиційною точкою зору. Досліди показали, що вміст завислих речовин більший у пробах дощів, яким передував коротший сухий період.
Отже, на характеристику поверхневого стоку з одного боку впливають джерела забруднень та фактори санітарного стану водозбірного басейну, а з іншого – фактори, що обумовлюють швидкість та ступінь змиву накопичених забруднень. Тому при оцінці якості поверхневого стоку конкретної території необхідно проаналізувати вміст у ньому домішок на протязі всього надходження стоку для визначення закономірностей та механізмів виносу забруднень.
Таким чином, для м. Києва актуальним є проведення дослідження особливостей формування поверхневого стоку: аналіз опадів за місяцями, роками, сезонами; визначення кількості діб з опадами та їх градації; визначення типів дощів за ходом випадіння. Це дозволить здійснити розрахунок потужності споруд очистки поверхневого стоку для м. Києва.
2. Визначення закономірностей утворення поверхневого стоку
в місті Києві
2.1. Матеріали та методи
В завдання роботи входило дослідження поверхневого стоку через атмосферні опади. Були використані статистичні дані Геофізичної центральної обсерваторії по місту Києву за період 1871 – 2004 років.
Для аналізу даних період спостережень (1871 – 2004 роки) було розділено на 4 періоди: 1871 – 1916 роки (46 років), 1917 – 1946 роки (30 років), 1947 – 1975 роки (29 років), 1975 – 2004 роки (29 років). Такий вибір періоду та його розподіл на 4 періоди обумовлений наступними причинами:
-
з 1871 року розпочато вимірювання опадів у мм (до 1871 року опади вимірювалися у «російських лініях»);
-
з 1917 року розпочато регулярне щодобове занесення даних по кількості опадів (у період з 1871 до 1916 року переважно наявні дані тільки по кількості опадів за місяць);
-
період 1917 – 2004 роки було розподілено на 3 періоди (30, 29 і 29 років), причому період 1917 – 1946 роки становить 30 років з огляду на відсутність даних за 7 місяців.
За період спостереження відсутні дані по кількості опадів за наступні місяці: вересень 1892 р., травень 1917 р., серпень 1937 р., вересень і жовтень 1941 р. (частково), вересень – листопад 1943 р., січень 1981 р., квітень 1991 р.
Дослідження проведені за такими показниками:
-
кількість опадів (мм) за місяцями, сезонами, роками та періодами;
-
кількість діб з опадами за різними градаціями (від 0,0 до 100,0 мм) за роками та періодами;
-
інтенсивність і розподіл кількості опадів по ходу дощу (використання даних плювіографу, спостереження розпочаті з 1994 року).
2.2. Дослідження кількість опадів (мм) за місяцями, сезонами, рока-ми та періодами
За період спостережень 1871 – 2004 роки у місті Києві мінімальна кількість опадів на рік спостерігалася в 1975 року і становила 395,6 мм, максимальна – в 1933 році – 924,9 мм; середня кількість опадів за період становить 609,9 мм. Зіставлення мінімальної, максимальної і середньої кількості опадів на рік за чотирма періодами показує, що відбувається постійне зростання середньої кількості опадів на рік – від 582,6 мм до 629,7 мм, що складає 8,1 % (таблиця 2). Аналіз різниці між максимальною і мінімальною кількістю опадів на рік показує, що в 1976 – 2004 роках вона скоротилася приблизно на 57 %: з 447,1 (1871 – 1916), 508,0 (1917 – 1946), 506,8 (1947 – 1975) – до 210,8 (1976 – 2004). Це свідчить про те, що величина кількості опадів на рік стає більш прогнозованою. Причому середня кількість опадів на рік значно зрос-тає, хоча максимальна кількість опадів на рік за період становить 747,9 мм (проти 851,7 мм, 924,9 мм і 902,4 мм).
Таблиця 2
Характеристика опадів в місті Києві за період 1871 – 2004 роки
| Періоди | 1871-1916 | 1917-1946 | 1947-1975 | 1976-2004 | 1871-2004 |
|---|---|---|---|---|---|
| Показники | |||||
| Мінімальна кількість опадів на рік, мм |
404,6 (1909 р.) |
416,9 (1945 р.) |
395,6 (1975 р.) |
537,1 (1983 р.) |
395,6 (1975 р.) |
| Максимальна кількість опадів на рік, мм |
851,7 (1906 р.) |
924,9 (1933 р.) |
902,4 (1970 р.) |
747,9 (1980 р.) |
924,9 (1933 р.) |
| Середня кількість опадів на рік, мм |
582,6 |
621,1 |
622,1 |
629,7 |
609,9 |
| в т.ч. за теплий період (квітень–жовтень), мм / % від сер. на рік |
111393,0 67,5 |
409,7 66 |
394,6 63,4 |
425,6 67,6 |
403,7 66,2 |
На рис. 6 показано кількість опадів на рік за період 1871 – 2003 роки за результатами досліджень. На рис. 7 наведено аналогічні дані за період 1890 – 2000 роки за даними «Екологічного атласу Києва» [10]. Як видно із порівняння рисунків аналіз даних суперечливий. Це, по-перше, може пояснюватися різним періодом аналізу даних. По-друге, в 1933 році випало 924,9 мм опадів, тоді як [10] наводиться цифра 1000 мм; в червні 1932 року випало 239,1 мм, тоді як в [10] наводиться цифра 251 мм. Це може свідчити про помилки в аналізі даних.

Рис. 6. Багаторічні зміни кількості опадів у місті Києві
за період 1871 – 2004 роки за результатами досліджень

Рис. 7. Багаторічні зміни кількості опадів у місті Києві
за період 1890 – 2000 роки за даними «Екологічного атласу Києва» [10]
Аналіз даних таблиці 2 показує, що середня кількість опадів на рік найбільша за період 1976 – 2004 роки і становить 629,7 мм. За СНиП 2.01.01-82 [11] «Строительная климатология и геофизика» в місті Києві середня кількість опадів на рік становить 685 мм, у тому числі рідких та змішаних – 589 мм; максимум за добу – 103 мм (1902 р.). Оскільки реальна цифра значно менша, ніж регламентована СНиП 2.01.01-82 [11], проаналізуємо дані за різними градаціями та періодами (таблиця 3).
Таблиця 3
Кількість опадів на рік за різними градаціями та періодами
(крім 1872, 1917, 1937, 1941, 1943, 1981, 1991 років)
| Кількість опадів на рік, мм | Кількість випадків | ||||
|---|---|---|---|---|---|
| 1871-1916 (45) |
1917-1946 (26) |
1947-1975 (29) |
1976-2004 (27) |
1871-2004 (127) | |
|
до 450 |
6 |
2 |
3 |
- |
11 |
|
450 – 500 |
6 |
3 |
3 |
- |
12 |
|
500 – 550 |
10 |
1 |
7 |
2 |
20 |
|
550 – 600 |
4 |
6 |
2 |
8 |
20 |
|
600 – 650 |
8 |
4 |
2 |
7 |
21 |
|
650 – 700 |
4 |
5 |
2 |
8 |
19 |
|
700 – 750 |
3 |
2 |
5 |
2 |
12 |
|
750 – 800 |
1 |
1 |
1 |
- |
3 |
|
800 – 850 |
2 |
- |
1 |
- |
3 |
|
850 – 900 |
1 |
1 |
2 |
- |
4 |
|
Більше 900 |
- |
1 |
1 |
- |
2 |
|
До 685 |
38 |
21 |
18 |
21 |
98 |
|
Більше 685 |
7 |
5 |
11 |
6 |
29 |
Проведені дослідження свідчать про те, що в 22,8 % випадків (майже 1 раз на 4 роки) за період 1871 – 2004 років (загальною кількістю 127 випадків) середньорічна кількість опадів перевищувала регламентовану СНиП 2.01.01-82 «Строительная климатология и геофизика» (685 мм). Аналіз даних за періодами показує, що середньорічна кількість опадів перевищувала регламентовану СНиП 2.01.01-82 у наступній кількості випадків: 1871 – 1916 роки – 15,6 % (1 раз на 6 – 7 років), 1917 – 1946 роки – 19,2 % (1 раз на 5 років), 1947 – 1975 роки – 37,9 % (1 раз на 2 – 3 роки), 1975 – 2004 роки – 22,2 % (1 раз на 4 – 5 років).
Отже, враховуючи вищенаведене, постає питання не про зменшення, а про збільшення регламентованої СНиП 2.01.01-82 [11] величини середньої кількості опадів на рік. При збільшення цієї величини до 700 мм, середньорічна кількість опадів перевищуватиме регламентовану у 18, 9 % випадків (1 раз на 5 років); при збільшенні цієї величини до 750 мм – у 9,5 % випадків (1 раз на 10 – 11 років).
Для розрахунків кількості поверхневого стоку, який поступатиме на очисні споруди, а, відповідно і об’ємів накопичувача, необхідно дослідити закономірності випадіння опадів за місяцями та сезонами (таблиця 4). Оскільки за період спостережень за деякими місяцями дані відсутні, то обчислення проводилися наступним чином: наприклад, відсутні дані за вересень 1892 року, тому не враховувалися цей місяць та рік при визначенні середньої кількості опадів на рік; проте всі місяці крім вересня враховувалися. Цим пояснюється невідповідність між сумою опадів за сезонами та середньою кількістю опадів на рік за усіма періодами.
Таблиця 4
Характеристика кількості опадів в місті Києві за місяцями, сезонами та періодами
| Періоди | 1871-1916 | 1917-1946 | 1947-1975 | 1976-2004 | 1871-2004 |
|---|---|---|---|---|---|
| Показники | |||||
| Середня кількість опадів на рік, мм |
582,6 |
621,1 |
622,1 |
629,7 |
609,9 |
| Зима, в т.ч. |
108,7 |
120,3 |
136,1 |
117,5 |
119,1 |
| Грудень |
43,6 |
43,2 |
49,0 |
41,5 |
44,2 |
| Січень |
32,9 |
38,7 |
44,3 |
38,2 |
37,8 |
| Лютий |
32,2 |
38,4 |
42,8 |
37,8 |
37,1 |
| Весна, в т.ч. |
136,3 |
156,2 |
123,8 |
144,0 |
139,6 |
| Березень |
40,9 |
41,0 |
36,8 |
37,9 |
39,4 |
| Квітень |
45,2 |
53,0 |
35,6 |
52,1 |
46,3 |
| Травень |
50,2 |
62,2 |
51,4 |
54,0 |
53,9 |
| Літо, в т.ч. |
200,3 |
202,1 |
215,9 |
218,3 |
209,1 |
| Червень |
74,1 |
69,1 |
62,9 |
81,0 |
72,0 |
| Липень |
71,0 |
68,5 |
77,0 |
73,8 |
73,5 |
| Серпень |
55,2 |
64,5 |
76,0 |
63,5 |
63,6 |
| Осінь, в т.ч. |
137,4 |
142,5 |
143,6 |
146,9 |
142,0 |
| Вересень |
48,4 |
47,9 |
44,6 |
60,2 |
50,1 |
| Жовтень |
48,9 |
41,1 |
44,4 |
38,2 |
43,9 |
| Листопад |
40,1 |
53,5 |
54,6 |
48,5 |
48,0 |
Проведені дослідження свідчать про постійне зростання середньої кількості опадів за сезонами літо і осінь (рис. 8), причому за літо випадає у середньому 34,7 % кількості опадів (мм).

Рис. 8. Характеристика кількості опадів (мм) в місті Києві за сезонами за період 1871 – 2004 років
Ряд 1 – зима, ряд 2 – весна, ряд 3 – літо, ряд 4 – осінь

Рис. 9. Кількості опадів (мм) в місті Києві за літо (червень – серпень) за період 1871 – 2004 років
В таблиці 5 наведено результати дослідження за кількістю діб з опадами за теплий період (квітень – жовтень) та за рік.
Таблиця 5
| Періоди | 1917-1946 | 1947-1975 | 1976-2004 | 1917-2004 |
|---|---|---|---|---|
| Показники | ||||
| Середня кількість опадів на рік, мм |
621,1 |
622,1 |
629,7 |
623,1 |
| в т.ч. за теплий період (квітень–жовтень), мм / % від сер. на рік |
409,7 66 |
394,6 63,4 |
425,6 67,6 |
409,3 65,7 |
| Середня кількість діб з опадами на рік |
166 |
157 |
150 |
158 |
| в т.ч. за теплий період (квітень –жовтень), кількість / % від сер. на рік |
85 51,2 |
79 50,3 |
80 53,3 |
81 51,3 |
Аналіз даних дозволяє здійснювати розрахунок потужності очисних споруд поверхневого стоку з врахуванням коефіцієнту, який показує частоту опадів (у теплий період 81 доба з опадами із 214 діб, за весь рік – 158 діб з опадами із 365 діб). Тобто потужність споруд очистки може бути у 2 рази менша за об’єм накопичувача забрудненого поверхневого стоку.
2.3. Дослідження опадів за різними градаціями за роками та періодами
З метою визначення кількості дощових вод, які потрібно очищати, та відповідно підбору оптимального об’єму накопичувача поверхневого стоку були проведені дослідження опадів за різними градаціями.
Методика обчислення кількості опадів за градаціями полягає в точному визначенні кількості випадків з опадами відповідної градації за періодами.
У зв’язку зі складністю обробки даних для градацій від 0,0 до 20,0 кількість опадів за період визначалася як точна кількість випадків опадів відповідної градації помножена на середню кількість опадів у градації (таблиця 6):
для 0,0 – 5,0 мм – 2,5 мм;
для 5,0 – 10,0 мм – 7,5 мм;
для 10,0 – 15,0 мм – 12,5 мм;
для 15,0 – 20,0 мм – 17,5 мм.
Для градацій > 20,0 визначалася точна кількість випадків і точна кількість опадів (таблиця 7).
Таблиця 6
Кількість опадів (мм) та їх повторюваність за різними градаціями за періодами в місті Києві
| Періоди | 1917-1946 | 1947-1975 | 1976-2004 | 1917-2004 | ||||
|---|---|---|---|---|---|---|---|---|
| Градація опадів, мм | 1 | 2 | 1 | 2 | 1 | 2 | 1 | 2 |
|
0,0–5,0 |
1828 61,0 |
3315,5 110,5 |
1620 55,9 |
3020,4 104,15 |
1536 53,0 |
3048,3 105,1 |
4984 56,65 |
9384,15 106,65 |
|
5,0–10,0 |
361 12 |
2707,5 90,25 |
344 11,9 |
2580 89,0 |
382 13,2 |
2865 98,8 |
1087 12,35 |
8152,5 92,65 |
|
10,0–15,0 |
170 5,65 |
2125 70,85 |
148 5,1 |
1850 63,8 |
194 6,7 |
2425 83,6 |
512 5,8 |
6400 72,75 |
|
15,0–20,0 |
75 2,5 |
1312,5 43,75 |
76 2,6 |
1330 45,85 |
86 3,0 |
1505 51,9 |
237 2,7 |
4147,5 47,15 |
|
> 20,0 |
105 3,5 |
3133,4 104,5 |
104 3,6 |
3358,5 115,8 |
103 3,55 |
3146,0 108,5 |
312 3,55 |
9637,9 109,5 |
1 – в чисельнику – кількість випадків за період, в знаменнику – середня кількість випадків відповідної градації на рік;
2 – в чисельнику – кількість опадів в мм за період, в знаменнику – середня кількість опадів в мм відповідної градації на рік.
Таблиця 7
Кількість опадів (мм) та їх повторюваність за різними градаціями (від 0,0 до 100,0 мм) за періодами в місті Києві
| Роки | 1917-1946 | 1947-1975 | 1976-2004 | 1917-2004 | ||||
|---|---|---|---|---|---|---|---|---|
| Градація опадів, мм | 1 | 2 | 1 | 2 | 1 | 2 | 1 | 2 |
|
20,0–25,0 |
46 |
1024,1 22,3 |
35 |
762,5 21,8 |
40 |
885,0 22,1 |
121 |
2671,6 22,1 |
|
25,0–30,0 |
29 |
737,3 25,4 |
22 |
594,4 27,0 |
19 |
524,4 27,6 |
70 |
1856,1 26,5 |
|
30,0–35,0 |
8 |
257,5 32,2 |
17 |
551,6 32,4 |
20 |
633,4 31,7 |
45 |
1442,5 32,1 |
|
35,0–40,0 |
7 |
262,6 37,5 |
8 |
297,2 37,2 |
8 |
297,3 37,2 |
23 |
857,1 37,3 |
|
40,0–45,0 |
4 |
166,2 41,55 |
9 |
379,1 42,1 |
8 |
344,1 43,0 |
21 |
889,4 42,4 |
|
45,0–50,0 |
2 |
94,9 47,45 |
4 |
186,0 46,5 |
2 |
94,4 47,2 |
8 |
375,3 46,9 |
|
50,0–55,0 |
5 |
263,6 52,7 |
2 |
102,5 51,25 |
1 |
51,1 51,1 |
8 |
417,2 52,15 |
|
55,0–60,0 |
0 |
0 |
1 |
57,9 57,9 |
3 |
173,3 57,8 |
4 |
231,2 57,8 |
|
60,0–65,0 |
1 |
64,7 64,7 |
2 |
121,5 60,75 |
1 |
61,2 61,2 |
4 |
247,4 61,85 |
|
65,0–70,0 |
0 |
0 |
0 |
0 |
0 |
0 |
0 |
0 |
|
70,0–75,0 |
0 |
0 |
3 |
217,6 72,5 |
0 |
0 |
3 |
217,6 72,5 |
|
75,0–80,0 |
1 |
79,4 79,4 |
0 |
0 |
0 |
0 |
1 |
79,4 79,4 |
|
80,0–85,0 |
1 |
83,2 83,2 |
0 |
0 |
1 |
81,8 81,8 |
2 |
165 82,5 |
|
85,0–90,0 |
0 |
0 |
1 |
88,2 88,2 |
0 |
0 |
1 |
88,2 88,2 |
|
90,0–95,0 |
0 |
0 |
0 |
0 |
0 |
0 |
0 |
0 |
|
95,0–100,0 |
1 |
99,9 99,9 |
0 |
0 |
0 |
0 |
1 |
99,9 99,9 |
1 – кількість випадків за період;
2 – в чисельнику – кількість опадів в мм за період, в знаменнику – середня кількість опадів в мм відповідної градації за період.
Точна кількість опадів за період 1917 – 2004 років, визначена за місяцями (квітень – жовтень), становить 35606 мм. Точна кількість опадів для градацій > 20,0 мм становить 9637,9 мм. Наближена кількість опадів для градацій 0,0 – 20,0 мм, обчислена як точна кількість діб з опадами відповідної градації помножена на середню кількість опадів у градації, становить 28084,15 мм. Точна кількість опадів для градацій 0,0 – 20,0 мм може бути визначена як:
35606 – 9637,9 = 25968,1 мм
Таким чином, похибка обчислень для градацій 0,0 – 20,0 мм стано-вить (період 1917 – 2004 р.р. – 88 років, середня кількість опадів на рік за період за таблицею 5 складає 623,1 мм):
(28084,15 – 25968,1)*100/(88*623,1) = 211605/54833 = 3,86 %
Враховуючи, що за період (квітень – жовтень) 1917 – 2004 років відсутні дані за 7 місяців, та наближеність розрахунків така похибка є допустимою.
Точна кількість опадів за період 1917 – 2004 років, визначена за місяцями (листопад – березень), становить 18862,8 мм (відсутні дані за 2 місяці). Виходячи із того, що за рік повинно очищатися не менше 70 % поверхневого стоку, проведено такі розрахунки:
Загальна кількість стоку:
35606 + 18862,8 = 54468,8 мм
70 % від загальної кількості стоку:
0,7 * 54468,8 = 38128,2 мм
70 % від кількості стоку за квітень–жовтень:
0,7 * 35606 = 24924,2 мм
70 % від кількості стоку за листопад–березень:
0,7 * 18862,8 =13204 мм
За період листопад–березень 70 % стоку потраплятиме в накопичувач очисних споруд, оскільки для зимового періоду характерна відсутність зливових дощів, та наявність частих відлиг.
Для періоду 1917 -2004 роки: якщо накопичувач очисних споруд розраховувати на 5 мм опадів, то кількість стоку за квітень–жовтень, який буде очищено, складатиме (за таблицею 6):
9384,15 + 1087*5 + 512*5 + 237*5 + 312*5 = 20124 мм ( < 24924 мм)
Аналогічно виконуємо обчислення для всіх періодів, поки не знай-демо розмір накопичувача, який задовольняє поставлену умову. Результати зводимо у таблицю 8.
Таблиця 8
| Періоди | 1917-1946 | 1947-1975 | 1976-2004 | 1917-2004 | ||||
|---|---|---|---|---|---|---|---|---|
| Об’єм накопичувача, мм | 1 | 2 | 1 | 2 | 1 | 2 | 1 | 2 |
|
5 мм |
8316 |
6871 |
8011 |
6380 |
8598 |
6873 |
24924 |
20124 |
|
6 мм |
7582 |
7052 |
7638 |
22272 | ||||
|
7 мм |
8293 |
7724 |
8403 |
24420 | ||||
|
7,5 мм |
8648 |
8061 |
8786 |
25494 | ||||
1 – 70 % від кількості поверхневого стоку, що утворюється за теплий період (квітень – жовтень);
2 – кількість поверхневого стоку, що утворюється за теплий період (квітень – жовтень), який потраплятиме в накопичувач і буде очищено.
Підрахуємо похибки обчислень для градацій 0,0 – 20,0 мм за періодами:
1917 – 1946 роки: (9460,5 – 8746,7)*100/(30*621,1) = 3,83 %
1977 – 1975 роки: (8780,4 – 8085,3)*100/(29*622,1) = 3,85 %
1976 – 2004 роки: (9843,3 – 9136,1)*100/(29*629,7) = 3,87 %
Таким чином, мінімальний розмір накопичувача очисних споруд W, м3 повинен обчислюватися виходячи із розрахункової кількості опадів 7,5 мм, з урахуванням коефіцієнтів стоку для різних поверхонь:
W = 75 ∑ Yi Fi,
де Yi – коефіцієнт стоку (становить 0,8 для вулиць та центральних районів міста, 0,65 – для житлових кварталів, 0,2 – для ґрунту, 0,1 – для газону);
Fi – площа території за функціональним розподілом покриттів, га.
2.4. Дослідження інтенсивності і розподілу кількості опадів по ходу дощу
Таблиця 8
| Поз. | Дата | Тривалість дощу, год. хв. |
Кількість опадів, мм |
Інтенсивність дощу, л/(с∙га) | Тип дощу | |
|---|---|---|---|---|---|---|
| Середня | Максимальна за 10 хв. | |||||
|
1 |
10.07.1994 |
19 30 |
42,4 |
6,04 |
31,67 |
V |
|
2 |
13.08.1994 |
01 22 |
13,2 |
26,83 |
101,69 |
І |
|
3 |
30.08.1994 |
03 55 |
13,6 |
9,65 |
60,01 |
ІV |
|
4 |
08.08.1996 |
13 06 |
16,0 |
3,39 |
8,33 |
ІІ |
|
5 |
23.08.1996 |
03 58 |
10,1 |
7,07 |
24,17 |
ІV |
|
6 |
09.09.1996 |
12 47 |
12,4 |
2,7 |
14,17 |
ІV |
|
7 |
13.09.1996 |
03 42 |
8,9 |
6,68 |
16,67 |
ІV |
|
8 |
14.09.1996 |
18 10 |
32,3 |
4,94 |
16,67 |
ІV |
|
9 |
24.10.1996 |
13 27 |
11,6 |
2,4 |
21,67 |
ІV |
|
10 |
25.11.1996 |
08 14 |
13,3 |
4,49 |
16,67 |
V |
|
11 |
20.05.1997 |
02 09 |
17,3 |
22,36 |
125,03 |
І |
|
12 |
01.06.1997 |
02 37 |
9,0 |
9,56 |
33,34 |
V |
|
13 |
16.06.1997 |
01 17 |
13,7 |
29,66 |
90,02 |
І |
|
14 |
20.06.1997 |
04 24 |
11,1 |
7,01 |
11,11 |
ІІ |
|
15 |
06.07.1997 |
04 03 |
13,5 |
9,26 |
66,68 |
І |
|
16 |
08.09.1997 |
07 14 |
19,2 |
7,37 |
30,01 |
ІІІ |
|
17 |
19.05.1998 |
03 53 |
10,6 |
7,58 |
19,17 |
V |
|
18 |
14.06.1998 |
04 49 |
19,8 |
11,42 |
31,67 |
V |
|
19 |
01.07.1998 |
01 13 |
12,4 |
28,32 |
83,35 |
ІV |
|
20 |
08.07.1998 |
07 53 |
11,5 |
4,05 |
18,34 |
ІІ |
|
21 |
04-05.10.1998 |
20 42 |
19,1 |
2,56 |
4,77 |
І |
|
22 |
21.10.1998 |
08 26 |
14,5 |
4,78 |
28,34 |
ІV |
|
23 |
17.05.1999 |
09 52 |
16,2 |
4,56 |
10,0 |
ІІІ |
|
24 |
20.06.1999 |
04 17 |
28,3 |
18,36 |
140,03 |
ІV |
|
25 |
09.07.1999 |
00 51 |
13,2 |
43,15 |
93,35 |
І |
|
26 |
15.07.1999 |
01 10 |
20,3 |
48,34 |
245,05 |
ІІІ |
|
27 |
20.07.1999 |
04 58 |
10,0 |
5,59 |
11,7 |
ІV |
|
28 |
09.08.1999 |
00 55 |
17,0 |
51,53 |
91,69 |
І |
|
29 |
14.08.1999 |
05 52 |
40,8 |
19,32 |
106,69 |
ІІІ |
|
30 |
14.08.1999 |
02 13 |
16,5 |
20,68 |
110,02 |
ІV |
|
31 |
16.08.1999 |
03 49 |
21,6 |
15,72 |
126,69 |
І |
|
32 |
17.08.1999 |
04 05 |
12,1 |
8,23 |
11,7 |
ІІ |
|
33 |
20.08.1999 |
01 57 |
14,6 |
20,8 |
88,35 |
ІV |
|
34 |
19.05.2000 |
01 53 |
19,7 |
29,06 |
133,36 |
V |
|
35 |
21.05.2000 |
03 23 |
14,0 |
11,5 |
35,01 |
ІV |
|
36 |
22.05.2000 |
05 36 |
17,8 |
8,83 |
20,0 |
ІІІ |
|
37 |
10.07.2000 |
06 14 |
16,9 |
7,53 |
30,01 |
І |
|
38 |
29.07.2000 |
02 50 |
19,1 |
18,73 |
95,02 |
V |
|
39 |
07.09.2000 |
17 53 |
42,0 |
6,53 |
75,02 |
ІV |
|
40 |
17.09.2000 |
16 30 |
17,4 |
2,93 |
8,34 |
V |
|
41 |
20.09.2000 |
07 35 |
16,1 |
5,9 |
13,34 |
V |
|
42 |
29.06.2001 |
02 50 |
9,6 |
9,41 |
116,69 |
І |
|
43 |
25.09.2001 |
03 50 |
9,9 |
7,18 |
26,67 |
ІІІ |
|
44 |
31.05.2002 |
08 13 |
29,2 |
9,87 |
60,01 |
І |
|
45 |
01.06.2002 |
09 30 |
13,2 |
3,86 |
21,67 |
ІV |
|
46 |
01.06.2002 |
03 00 |
25,5 |
23,62 |
48,9 |
ІІІ |
|
47 |
08.06.2002 |
13 29 |
14,5 |
2,99 |
13,34 |
ІV |
|
48 |
25.06.2002 |
03 07 |
9,1 |
8,11 |
20,0 |
ІV |
|
49 |
14.08.2002 |
07 40 |
28,0 |
10,15 |
145,03 |
ІІІ |
|
50 |
11.09.2002 |
12 17 |
12,2 |
2,76 |
13,34 |
ІІІ |
|
51 |
27.09.2002 |
06 42 |
13,3 |
5,52 |
11,7 |
ІV |
|
52 |
07.10.2002 |
13 30 |
28,0 |
5,76 |
28,34 |
ІІІ |
|
53 |
05.07.2003 |
02 10 |
15,9 |
20,39 |
108,36 |
І |
|
54 |
01.08.2003 |
01 40 |
27,7 |
46,18 |
186,7 |
ІV |
|
55 |
03.08.2003 |
02 20 |
14,1 |
16,79 |
33,34 |
ІV |
|
56 |
05.08.2003 |
00 55 |
12,7 |
38,49 |
126,69 |
ІV |
|
57 |
01.09.2003 |
08 20 |
33,2 |
11,07 |
96,69 |
І |
|
58 |
07.10.2003 |
05 38 |
13,6 |
6,71 |
33,34 |
І |
|
59 |
09.10.2003 |
10 55 |
28,6 |
7,28 |
43,34 |
V |
|
60 |
10.10.2003 |
03 03 |
16,0 |
14,57 |
40,01 |
V |
Таким чином, для міста Києва кількість дощів І типу складає 23 %, ІІ типу – 7 %, ІІІ типу – 17 %, ІV типу – 35 %, V типу – 18 %.
|
|
|
|
|
|

Рис. 10. П’ять типів ходу випадіння дощів та ймовірності їх повторення за результатами дослідження для для м. Києва
І тип – інтенсивність дощу максимальна на початку або в першій третині випадіння, ІІ тип – інтенсивність постійна (рівномірна), ІІІ тип – інтенсив-ність максимальна вкінці, ІV тип – інтенсивність максимальна всередині періоду, V тип – інтенсивність максимальна на початку та вкінці дощу
Проведені дослідження показали, що для м. Києва характерна висока кількість дощів з максимум інтенсивності всередині або вкінці дощу за ходом випадіння. Тому дослідження залежності зміни витрати дощових вод, концентрації завислих речовин і концентрації нафтопродуктів від тривалості випадіння опадів не проводилися.
Висновки
-
Здійснено моніторинг опадів у м. Києві за період (1871-2004 р.р.)
- Встановлені наукові закономірності формування дощового стоку у м. Києві з урахуванням витрат атмосферних опадів за місяцями, сезонами, роками, періодами, а саме:
- аналіз середньої кількості опадів на рік за чотирма періодами показало, що відбувається постійне зростання середньої кількості опадів на рік на 8,1 % (від 582,6 до 629,7 мм);
- аналіз різниці між максимальною і мінімальною кількістю опадів за період показує, що в 1976-2004 р.р. вона скоротилася на 57 % (з 447,1 до 210,8 мм);
- середньорічна кількість опадів перевищувала регламентовану СНиП 2.01.01-82 за різними періодами і градаціями на 15,6-37,9 %, тобто постає питання щодо корегування регламентованих СНиП величин;
- визначено кількість опадів за місяцями та сезонами: фіксується постійне зростання за сезонами літо і осінь, де за літо випадало у середньому до 34,7 % кількості опадів (мм); такий факт повинен враховуватись при розрахунках об’єму накопичувачів при очистці поверхневого стоку в м. Києві;
- дослідження опадів за різними градаціями за роками і періодами (1917-2004 р.р.) дозволяє запропонувати зміни у формули щодо визначення об’єму стічних вод, що стікають з поверхонь водозбірних територій міст;
- Проведені досліди та їх результати дозволяють констатувати, що створена наукова концепція змін витрат дощового стоку за довго-строковий період (1871-2004 р.р.).
- Отримані результати мають практичне значення:
- відповідними органами можуть бути внесені зміни до СНиП 2.01.01.-82 щодо кількісного визначення опадів (середні показники) у м. Києві;
- зміни у ДСТУ 3013-95 щодо визначення об’єму стічних вод, що стікають з поверхонь водозбірних територій міст;
- при проведенні розрахунків об’ємів накопичувачів при самостійній очистці поверхневого стоку, який утворюється в м. Києві;
- при проведенні розрахунків потужності очисних при самостійній очистці поверхневого стоку, який утворюється в м. Києві.
-
Снакин В.В. Экология и охрана природы. Словарь-справочник. Под редакцией академика А. Л. Яншина. – М: Academia, 2000. – 384 с.
- ДСТУ 3013-95. Гідросфера. Правила контролю за відведенням дощових і снігових стічних вод з територій міст і промислових підприємств. – Київ, Держстандарт України, 1995. – 14 с.
- Дикаревский В.С., Курганов А.М., Нечаев А.П., Алексеев М.И. Отве-дение и очистка поверхностных сточных вод. –Л.: Стройиздат, 1990.–224 с.
- Молоков М.В., Шифрин В.Н. Очистка поверхностного стока с территории городов и промышленных площадок. –М.: Стройиздат, 1977.–104 с.
- Временные рекомендации по проектированию сооружений для очистки поверхностного стока с территории промышленных пред-приятий и расчету условий выпуска его в водные объекты. – М.: ВНИИВОДГЕО, 1983. – 47 с.
- Алексеев М.И., Курганов А.М. Организация отведения поверхностного (дождевого и талого) стока с урбанизированных территорий. – М.: Изд-во АСВ; СПб.:СПбГАСУ. – 2000. – 352 с.
- Алексеев М.И., Верхотуров В.П., Ильина О.М. Оценка загрязненно-сти дождевого стока и выбор рациональных технологий его очистки // Известия высших учебных заведений. Строительство. – 2003. - № 7. – С. 103-108.
- Lee J.H., Bang K.W., Ketchum L.H., Choe J.S., Yu M.J. (Department of Environmental Engineering, Chongju National College of Science and Technology, Chungbuk, South Korea). First flush analysis of ur-ban storm runoff. – Science of the Total Environment, 2002. – Jul 3; 293(1-3): Р. 163-75.
- Amy M. Engstrom. Characterizing Water Quality of Urban Stormwater Runoff: Interactions of Heavy Metals and Solids in Seattle Residential Catchments. A thesis submitted in partial fulfillment of the requirements for the degree of Master of Science in Civil Engineering, University of Washington Graduate School, 2004.
- Екологічний атлас Києва. – К.: ТОВ "Агентство Інтермедіа", 2003. - 60 с.
- СНиП 2.01.01-82. «Строительная климатология и геофизка», Гос-строй СССР, Москва, Стройиздат, 1983.
В статье рассматриваются особенности формирования поверх-ностного стока в г. Киеве. Анализируются осадки в г. Киеве за период 1871 – 2004 р.р. Установлены научные закономерности формирования дождевого стока в г. Киеве с учетом расходов атмосферных осадков по месяцам, сезонам, годам и периодам. Исследуются осадки за разными градациями (малые, средние и ливневые дожди). Предложена формула для определения объема накопителя при самостоятельной очистке поверхностного стока с коэффициентом расчета для г. Киева.
The paper considers the features of forming of runoff stormwater in Kiev. Precipitations are analyzed in Kyiv for period of 1871 – 2004. Determines scientific laws of forming of runoff stormwater in Kiev taking into account the volumes of atmospheric precipitates on months, seasons, years and periods. Precipitations are being explored due to different gradations of rain (small, middle and thundershower). A formula is offered for de-termination of volume of storing reservoir for independent purification of runoff stormwater with coefficient of calculation for Kyiv.
















